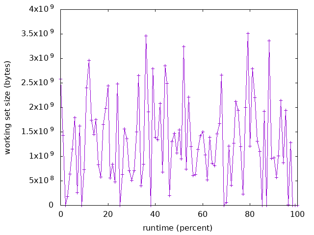
splash2x/ocean_cp/prec
pid:-1 time: 8840154404468-8888082278154 (47927873686) region 0: 00000000004294967296-00000000022548578303 (18253611007)