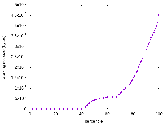
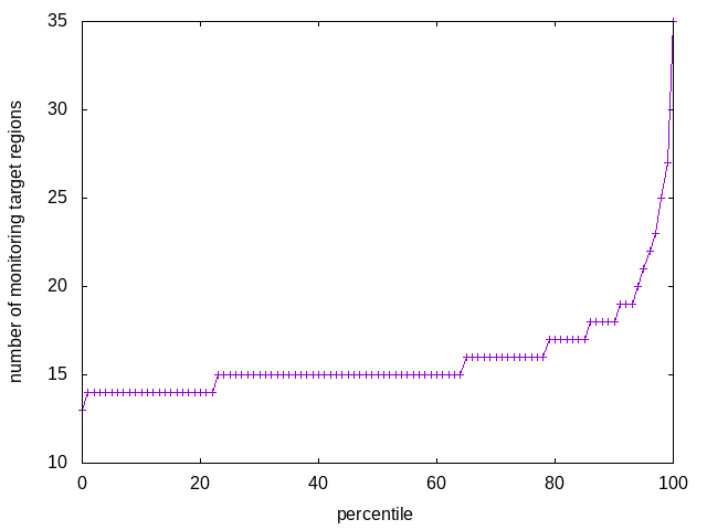
parsec3/fluidanimate/rec
target_id:18446632117902952064 time: 5625074878490-5949203296245 (324128417755) region 0: 00000094746143883264-00000094746188378112 (44494848) region 1: 00000140399063556096-00000140399619231744 (555675648) region 2: 00000140727591620608-00000140727591895040 (274432)